Kseeb Solutions For Class 8 Maths Chapter 7 Rational Numbers Ex 7 3 Kseeb Solutions Kseebsolutionsforclass8mathschapter7 Kse Class 8 Math Rational Numbers
Properties Of Rational Numbers
06 Proving Commutative Property For Rational Numbers Youtube
Types Of Rational Numbers Rational Numbers Rational Expressions Irrational Numbers
Properties Of Multiplication Of Rational Numbers Youtube
Commutative And Associative Properties Of Rational Numbers 2 Of 3 Youtube
Pin On Geometry Formulas
Cbse Ncert Notes Class 8 Maths Rational Numbers
08 Proving Associativity For Rational Numbers Youtube
Using Properties With Rational Numbers
Verify Distributive Property Of Multiplication Over Addition For Any Rational Number Brainly In
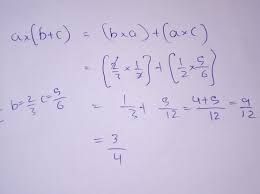
Verify The Distributive Property A B C A B A C For Rational Numbers A 1 2 B 2 3 And C 5 6 Brainly In
Verify The Distributive Property A B C A B A C For The Rational Numbers A 1 2 B 2 3 C 5 6 Brainly In
Properties Of Rational Numbers Concepts Videos And Solved Examples
Huge Algebra Review Powerpoint For Partner Whiteboard Practice Algebra Teaching Math Math Help
Maths Commutative Property Of Rational Numbers English Youtube
Ssc Mathematics Trigonometry Solutions Class 10 Maths Glow In 2020 Trigonometry Math Word Problems Common Core Math Fractions
Write Around Solving Equations Distributive Property Engage Students Solving Equations Math Properties Teaching Math
Pin On Algebra I
The Rational Numbers Are Closed Under Addition Subtraction Multiplication And Division By Nonzero Rational Rational Numbers 7th Grade Math Number Properties